Abstract
Introduction: Plasmablastic lymphoma (PBL) is a rare subtype of non-Hodgkin B-cell lymphoma (NHL), often characterized by immunoblastic morphology and plasmacytic immunophenotype. PBL was initially described in HIV-positive patients (pts) and is now often diagnosed in post-transplant and HIV-negative pts with other immunodeficiency. Pts with limited stage disease treated with induction chemotherapy and consolidative radiotherapy have a good prognosis; however, pts with advanced stage have poor outcome. Previously studied treatment regimens vary and include CHOP (cyclophosphamide, Adriamycin, vincristine, prednisone), HyperCVAD (cyclophosphamide, vincristine, Adriamycin, dexamethasone alternating with methotrexate and cytarabine), and DA-EPOCH (etoposide, vincristine, cyclophosphamide, Adriamycin, prednisone) with or without radiation and autologous stem cell transplant, with no current standard therapy, largely due to the rarity of PBL.
Methods: We conducted a retrospective analysis of pts diagnosed with PBL between April 2003 and August 2020 to describe outcomes for pts treated at our center over the past 2 decades. We hope to use this to improve outcomes with novel therapies in the future. We evaluated the baseline demographics, stage, therapy, response rate, progression-free survival (PFS) and overall survival (OS). We used descriptive statistics including mean, standard deviation, median, and range for continuous variables, and frequency counts and percentages for categorical variables. Best response and its 95% exact confidence interval were calculated. Kaplan-Meier method was used to estimate the time-to-event endpoints including progression free survival, and overall survival.
Results: 39 pts with PBL were identified, with a median age of 51 years (range 27-91). 16 were HIV+, and 5 were on immunosuppression for autoimmune disease (2), infectious hepatitis (2), or liver transplant (1); the other 18 had no apparent immunosuppression other than advanced age (defined as 70 years and older) in 13. Among those with HIV, 14 were on antiretroviral therapy at time of diagnosis of PBL. The median CD4 count was 140 (range 15-391) and 5 patients had an active viral load. 24 pts were EBV/EBER positive. 6 pts had stage III disease and 33 had stage IV disease. The primary sites of disease included head and neck (13), lymph node (7), gastrointestinal tract (6), other soft tissue (3), abdomen (3), breast (2), gynecologic (2), skin (2), and bone (1). The median LDH was 629 IU/L (313-618). A serum protein electrophoresis was checked in 21 pts and the median was 1.4 g/dL (range 0.2-2.6 g/dL, normal = 0). A beta 2 microglobulin was checked in 28 pts and the median was 3.95 (range 2.55-10.4, normal =0.8 to 2.3 mg/L). The median Ki-67 proliferation index was 85%, and the PBL cells were invariably CD20 negative. 12 cases showed MYC overexpression; 2 had MYC rearrangement by FISH.
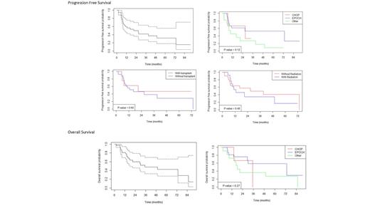
32 pts received systemic therapy and were evaluable with 2 median lines of treatment (range 1-6). First line therapy included Hyper-CVAD (n=7), CHOP (n=3), EPOCH (n=19), and other (n=3). The antimyeloma therapy, bortezomib, a proteasome inhibitor, was added to EPOCH for 4 patients or used with dexamethasone in one pt, while the CD38 antibody daratumumab was added to hypercytoxan for the first cycle of an elderly pt with poor performance status (PS). He responded well with improvement in his PS, and subsequently completed 5 cycles of DA-EPOCH and remains in CR. After first line therapy, 59% pts achieved complete response, 13% partial response, and 9% stable disease. 20 pts received intrathecal chemotherapy, 9 pts received radiation, and 8 pts underwent autologous stem cell transplantation (7 as consolidation and 1 at relapse). Please see figure for PFS and OS based on different treatment modalities. Median PFS and OS were 21 and 35.2 months, respectively. Median follow up time was 25.85 months.
Conclusions: The majority of our pts (87%) with advanced stage PBL were immunocompromised with HIV (16), requiring immunosuppression (5), or elderly (13). Despite a 56% CR rate with induction, 69% of patients relapsed. Median PFS was less than 2 years and OS was less than 3 years. The dismal outcomes of pts with PBL suggests that this rare and aggressive subtype of NHL with plasmacytic differentiation requires further evaluation with therapies against plasma cell directed antigens such as CD38, BCMA or SLAMF7.
*S Lee & C Dillard contributed equally.
Steiner: BMS: Research Funding; Seattle Genetics: Research Funding; Rafael Pharmaceuticals: Research Funding. Loghavi: Abbvie: Current equity holder in publicly-traded company; Curio Sciences: Honoraria; Gerson Lehrman Group: Consultancy; Guidepoint: Consultancy; Peerview: Honoraria; Qualworld: Consultancy. Ahmed: Seagen: Research Funding; Tessa Therapeutics: Membership on an entity's Board of Directors or advisory committees, Research Funding; Merck: Research Funding; Xencor: Research Funding. Patel: Pfizer: Consultancy; Janssen: Consultancy, Research Funding; BMS Celgene: Consultancy, Research Funding; Oncopeptides: Consultancy.
